Choi et al., Increased 30-day Mortality Risk in Coronavirus Disease 2019 Compared to Seasonal Influenza (12/2025 – siehe Discussion-Teil!)
„Von der Todesrate ist es vergleichbar mit einer Influenza, aber das Coronavirus ist deutlich weniger ansteckend“ (Infektiologe Günter Weiss, 24.01.20)
„Coronavirus ist nicht so gefährlich wie Grippe.“ (Virologe Christoph Steininger, 30.01.20)
„Das Coronavirus hat eine wesentliche niedrigere Sterberate als Influenza oder SARS.“ (Infektiologe Richard Greil, 01.02.20)
„Es herrscht ein unglaublicher Medienhype um diese Erkrankung, dabei ist die
Grippe viel gefährlicher als das Coronavirus“ (Landessanitätsdirektor Tirol, Franz Katzgraber, 04.02.20)
„Es ist eine dramatisch andere Situation. Erstens ist die Sterblichkeit bei COVID-19 deutlich höher. Zweitens werden durch einen Infizierten mehr Personen angesteckt als bei der saisonalen Grippe. Drittens gibt es gegenüber dem neuartigen Coronavirus keine Immunität in der Bevölkerung. Bei der saisonalen
Grippe haben viele schon schützende Antikörper gebildet, wen sie denselben oder einen nah verwandten Virusstamm der Grippe schon hatten oder geimpft sind. Es gibt eine gewisse Herdenimmunität. Diese Wellenbrecher in der Gesellschaft, die die Epidemie bremsen könnte, gibt es beim neuen Coronavirus
nicht. Ich fand es deswegen unangebracht, dass einige Experten zu Beginn der Epidemie Vergleiche mit der saisonalen Grippe gezogen haben und sogar meinten, dass sich vor diesem Virus niemand fürchten müsse.“ (Mikrobiologe Michael Wagner zum Influenza-Vergleich, 11.03.20)
In Ländern mit starken Eindämmungsmaßnahmen wurde die Schwere von SARS-CoV2 unterschätzt, auf der anderen Seiten konnte die Überschätzung der Sterblichkeitsrate von SARS-CoV2 auch dazu führen, die Schwere der saisonalen Influenza zu unterschätzen und die Impfraten weiter drücken, fürchtete Marios Papadakis im zweiten Pandemiejahr. In Tirol wurden während der schweren Influenzawelle 2019/2020 noch einzelne Volksschulen geschlossen.
Vergleich der Mortalitätsraten

Zu Beginn der Pandemie lag die Infektionssterblichkeit bei SARS-CoV2 in allen Altersgruppen über der von Influenza. Am deutlichsten war der Abstand bei den höheren Altersgruppen ab 55 Jahren aufwärts.
Wintersaison 2023/2024

Für Menschen ab 60 Jahre und älter war Covid19 weiterhin gefährlicher, für jüngere Menschen deutlich weniger gefährlich.
USA

Australien

Bei einer ähnlichen Infektionssterblichkeitsrate wie bei Influenza und unter der Annahme, dass alle vier Monate neue Wellen erwartet werden, würde es drei Mal so viele Tote jährlich geben, Long COVID nicht eingerechnet.
„it is important to bear in mind that the transition from a pandemic to future endemic existence of SARS-CoV-2 is likely to be long and erratic, rather than a short and distinct switch, and that endemic SARS-CoV-2 is by far not a synonym for safe infections, mild COVID-19 or a low population mortality and morbidity burden.“
Mortalität nach Hospitalisierung

Innerhalb von 30 Tagen nach Hospitalisierung betrug die Sterblichkeit im ersten Pandemiejahr bei RSV 3%, bei Influenza 7% und bei SARS-CoV2 21% (Mackenzie et al. 2022), im Winter 2022/2023 lag sie bei SARS-CoV2 weiterhin 60% höher als bei Influenza. Die Impfung reduzierte das Risiko deutlich. Die Hospitalisationssterblichkeit ist von 20% Anfang 2020 auf unter 6% 2023 gesunken, lag aber immer noch höher als bei Influenza mit stabil 3,7% (Xie et al. 2023).
Bei Nierentransplantierten hatten Covid-Patienten im ersten Pandemiejahr mehr schwere Verläufe als mit Influenza und ein viel höheres Sterblichkeitsrisiko (Nai et al. 2024). In Dänemark waren die Sterblichkeitsraten zwar vergleichbar, aber SARS-CoV2 verursacht einfach so viel mehr Fälle. Beide Viruserkrankungen betreffen ähnliche Risikogruppen. Wenn SARS-CoV2 einmal schwächer ausfallen würde, würde Influenza mehr Todesfälle produzieren. (Bager et al. 2025). Bei US-Veteranen verursacht Covid mehr Infektionen, mehr schwere Verläufe und mehr Tote als Influenza oder RSV (Bajema et al. 2025).
Mortalität nach Varianten
Omicron war in der Schweiz 2022 immer noch 1,5fach tödlicher als Influenza (Portmann et al. 2023), in Frankreich 2022 und Anfang 2023 4x tödlicher als Influenza (Goldstein 2023).
In den USA lag die Sterblichkeit in der Herbst-Wintersaison 2022/2023 5x höher als bei Influenza, bei SARS-CoV2 hatte ein Viertel der hospitalisierten Kleinkinder und ein Fünftel der Kinder und Jugendlichen keine Vorerkrankungen (Kopel et al. 2023).
Spätfolgen
Grain of Salt – ich hab die Studien nicht auf Plausibilität überprüft:
- Das Risiko für Schlaganfälle ist gegenüber Influenza signifikant erhöht (Zarifkar et al. 2022), ausgenommen Lungenschäden gibt es mehr Schäden an allen Organen unabhängig von den Varianten und Impfstatus (Xie et al. 2023).
- Long Influenza ist ähnlich häufig bei hospitalisierten Patienten (rund 30%), aber es gibt deutliche Unterschiede bei den Symptomen. Die Auswirkungen auf das Gesundheitssystem sind bei Long COVID gravierender (Fung et al. 2023).
- Auch Bluthochdruck tritt nach SARS-CoV2 häufiger auf als nach Influenza (Zhang et al. 2023).
- Diabetes als Folge einer Viruserkrankung ist bei beiden Viren bekannt, allerdings nehmen die Fälle mit dem ganzjährlich zirkulierenden SARS-CoV2-Varianten schneller zu als mit Influenza (abgeleitet aus Zhang et al. 2022).
- Bei SARS-CoV2 gab es im ersten Pandemiejahr ein 54fach höheres Risiko einer Lymphopenie (Dabaja-Younis et al. 2022).
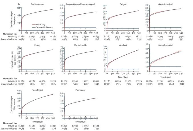
Aber: Nach drei Monaten ist die Inzidenz der Spätfolgen bei Influenza und Covid nahezu identisch (siehe Kommentar von Michael Fuhrer auf Xie et al. 2023 – daraus nachfolgende 2 Grafiken:).


Unterscheide beider Viren
Inkubationszeit und Übertragungswahrscheinlichkeit
Influenza A und B weisen im Durchschnitt lediglich eine Inkubationszeit von 1-2 Tagen auf, also von Ansteckung bis zu den ersten Symptomen (Lessler et al. 2009). Dadurch bleiben betroffene Patienten häufig schon zuhause, wenn sie am ansteckendsten sind, weshalb sich Influenza weniger gut verbreiten kann als SARS-CoV2, dessen Inkubationszeit derzeit bei rund 2-4 Tagen liegt. (Park et al. 2022, Xu et al. 2023).
Ein wesentlicher Faktor bleibt damit die präsymptomatische (Xu et al. 09/2023), aber auch asymptomatische Übertragung (Sah et al. 2023).
SARS-CoV2 erreicht die höchste Viruslast mit den Omicron-Varianten erst am vierten Tag nach Symptombeginn, Influenza hingegen unmittelbar nach Symptombeginn (Frediani et al. 09/2023). Das führt dazu, dass Antigentests in den ersten Tagen nach Symptombeginn häufig noch falschnegativ sind.
Mutationsfreudigkeit und Impfstoffentwicklung
Bis Herbst 2023 häufte SARS-CoV2 beträchlich schneller Mutationen mit Aminosäure-Substitutionen an als andere endemische Viren, etwa 6-10fach schneller als andere Coronaviren und 2,5-9fach schneller als Influenza (Kistler and Bedford 10/2023). Aber: Es entwickelten sich bisher seit Omicron keine neuen Serotypen mehr (Wildtyp: A und B, Omicron: BA.xx), während eine Driftvariante bei Influenza (häufig: Influenza A/H3N2) zu stärkeren/längeren Grippewellen führen kann.
Krammer and Ellebedy (10/2023) argumentierten gegen das jährliche „Influenzamodell“ bei Covid.
Akutverläufe – auch bei Kindern
Vor allem bei Kleinkindern (unter 5 Jahren) ist im Gegensatz zu älteren Kindern die Zahl der schweren Verläufe mit Sauerstoffbeatmung im Verlauf der Pandemie nicht gesunken (Zhu et al. 2023), das zeigte sich auch in den Patientenaufnahmedaten des SARI-Dashboards. Entscheidend ist hier vor allem, dass diese Altersgruppe in der Mehrzahl der Fälle ungeimpft ist und noch nie Kontakt mit dem Erreger hatte. In den USA zählte Covid19 zu den führenden Todesursachen bei Kindern und Jugendlichen unter 19 Jahre (Flaxman et al. 2022, Flaxman et al. 2023).
Hospitalisierungsvergleich RSV, Influenza, Covid in Österreich:


You must be logged in to post a comment.